行業關注 - 谷胱甘肽可提高茄屬茄品種低溫脅迫的耐受性

不同的氣候條件導致植物更容易受到阻礙其生存、發育和總產量的不同環境壓力的影響。包括低溫 (LT) 在內的嚴重溫度波動是對植物具有極大有害影響的這些脅迫之一。低溫改變植物生理,導致膜損傷、脂質成分變化、萎黃和不同的酶活性導致植物壞死甚至死亡。
此外,如果溫度下降到 0 °C 以下,則會在細胞間隙形成細胞外冰晶, 植物在冷脅迫下不能發芽或有差異地生長。LT 會影響處于所有發育階段的植物,從而導致作物產量下降,因為植物要么限制其生長,要么完全停止生長。低溫脅迫改變植物的基本生理、解剖和形態特征。光抑制導致植物在 LT 脅迫下的光合活性下調。
近日,外國研究團隊研究了谷胱甘肽 (GSH) 在減輕低溫壓力方面的影響。通過評估不同的生理反應,對番茄進行低溫耐受性研究。評估的具體目標是選擇外源應用中對在 LT 下具有抗氧化潛力的GSH最佳濃度。

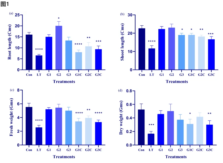
與對照和處理過的植物相比,LT 植物幾乎所有的生長生物標志物都顯示出顯著下降,包括根和枝條長度、植物的整體新鮮和干燥質量(圖 1 )。與對照相比,LT 植物的根長減少了 2.4 倍,而 G1 和 G3 的根長分別減少了 1.06 倍和 1.21 倍。相反,與對照植物相比,G2 植物顯著增加了 0.9 倍。與對照植物相比,G1C、G2C 和 G3C 植物分別降低了 1.7 倍、1.5 倍和 2 倍。在枝條長度的情況下,LT 和 G3 植物與對照植物相比分別減少了 1.94 倍和 1.18 倍。然而,與對照植物相比,G1 和 G2 植物分別顯示了 0.97 倍和 0.98 倍的增長。與對照植物相比,G1C、G2C 和 G3C 植物的枝條長度分別下降了 1.18 倍、2 倍和 1.3 倍。

LT 脅迫和不同 GSH 濃度對生長特性的影響:播種后 40 天幼苗用于 LT 脅迫和外源 GSH 的試驗。3 天后恢復測定 ( a ) 根長 ( b ) 芽長 ( c ) 鮮重和 ( d ) 干重。數據描述了三個重復的平均值和標準偏差。后跟 (*) 的數據確定顯著性水平 ( p?< 0.05) 正如 Dunnet 的多重比較檢驗所預測的那樣。對照 (Con):25/18 °C + 0 mM GSH,低溫應力 (LT):10/3 °C + 0 mM GSH,G1:25/18 °C + 0.5 mM GSH,G2:25/18 ° C + 1 mM GSH,G3:25/18 °C + 2 mM GSH,G1C:10/3 °C + 0.5 mM GSH,G2C:10/3 °C + 1 mM GSH,G3C:10/3 °C + 2 mM GSH。
可以看出植物的鮮重受到 LT 的影響。據報道,與對照植物相比,LT 植物的鮮重最大下降了 2.1 倍。與對照相比,G2 植物的鮮重增加了 0.98 倍。與對照植物相比,其余的 G1、G3、G1C、G2C 和 G3C 植物顯示出 1.01 倍、1.06 倍、1.55 倍、1.35 倍和 1.59 倍的邊際下降。
與對照植物相比,植物的干重降低。與對照植物相比,LT、G1、G2、G3、G1C、G2C 和 G3C 植物的干重分別降低了 3.25 倍、1.15 倍、1.04 倍、1.4 倍、1.67 倍、1.26 倍和 1.7 倍。在存在和不存在 LT 的情況下,G2 濃度明顯降低了干重(圖 2)。

冷脅迫和不同GSH濃度對芽形態的影響。對照(Con):25/18 °C + 0 mM GSH,G1:25/18 °C + 0.5 mM GSH,G2:25/18 °C + 1 mM GSH,G3:25/18 °C + 2 mM GSH , 低溫應力 (LT/C): 10/3 °C + 0 mM GSH, G1C: 10/3 °C + 0.5 mM GSH, G2C: 10/3 °C + 1 mM GSH, G3C: 10/3 ° C + 2 mM GSH。

在非生物條件下,GSH 負責控制植物的多種生理反應,在此次研究中,發現 GSH 通過增強抗氧化機制、生化特性、光合參數和生長特性來對抗冷應激。LT 脅迫對植物生長和發育過程有顯著影響。植物的生長受 LT 的影響。它引發了一系列限制植物生產力的生理、生化和形態變化。在此次研究中,LT 導致幼苗生長減少并伴有明顯的冷害,LT 脅迫下植物生長遲緩的原因可能有很多,例如 ROS 產生、養分吸收不當和滲透失衡。然而,GSH 處理的 LT (GSH + LT) 脅迫幼苗能夠以更好的 對抗 LT 的不利影響。

低溫脅迫和不同GSH濃度對根系形態的變化。對照 (Con):25/18 °C + 0 mM GSH,低溫應力 (LT):10/3 °C + 0 mM GSH,G1:25/18 °C + 0.5 mM GSH,G2:25/18 ° C + 1 mM GSH,G3:25/18 °C + 2 mM GSH,G1C:10/3 °C + 0.5 mM GSH,G2C:10/3 °C + 1 mM GSH,G3C:10/3 °C + 2 mM GSH。
外源 GSH 在控制非生物脅迫下的生長、發育和產量方面的漸進作用已在擬南芥綠豆和大豆中報道。該研究還表明,GSH 處理在減輕 LT 對番茄生長發育的毒性作用方面具有保護作用。據報道,滲透壓調節劑和抗氧化劑在賦予非生物脅迫耐受性(如鹽脅迫)方面具有明確的作用。此外,根的吸收表面積在提供 GSH 的植物中顯著高于對照和 LT 植物。
外源性補充 GSH 減輕了 LT 壓力。G2 濃度具有對抗 LT 壓力的巨大潛力。GSH 遇到 LT 應力的幾種方式可以總結為以下幾點。
GSH 應對 LT 的幾種方式
1.維持滲透平衡和膜完整性。
2.CAT、GR、APX、SOD等抗氧化酶活性增強。
3.通過調節根長耐受指數、芽長耐受指數、植物的鮮重 和干重促進生長和發育。
4.GSH 有助于提高光合作用的速率。
5.提高氣孔導度、蒸騰水平和水分利用效率等氣體交換參數的功效。
6.與 LT 脅迫植物相比,脅迫耐受指數的進展。
7.如在 G2C 處理下所見,LT 應力承受趨勢取決于氣孔導度、光合速率和蒸騰速率之間的一種有利的相互作用。
8.在 LT 脅迫情況下,外源性 GSH 最顯著的 G2C 濃度可能在增加 GSH 氧化還原和抑制茄屬茄品種中ABA介導的信號傳導中具有潛在作用。
*特別說明 - 本文僅作資訊科普用途,不能代替醫生的治療診斷和建議,不應被視為對所涉醫療產品的推薦或功效證明。涉及疾病診斷、治療、康復相關的,請務必前往專業醫療機構就診,尋求專業意見。